栏目简介 - 提供各类最新的参考资料供广大用户学习交流。如最新热门电影观后感,最新畅销书籍读后感,大型学习教育活动心得体会,最新中高考满分作文、学习方法等等!
快速学会日语的方法?学好日语的四个方法
考研情报学考什么?21考研必备院校情报局
螃蟹怎么保存才新鲜又好吃?简单有效的妙法保留螃蟹新鲜美味
资本主义生产方式的基本方法?资本主义生产方式的两个特征
连衣裙搭配技巧?裙子5种搭配技巧
怎样区分僵尸肉?教你四招识别僵尸肉
招行运通百夫长金卡全部权益?招行运通百夫长
真正男子汉第二季什么时候录制的?真正男子汉第二季播出时间已确认
如何区分对联中的上下联?手把手教你区分对联的上下联
联想y470重启黑屏?3秒掉电通病维修
七月半烧纸封包怎么写?纸钱封包
鸽乳的做法和配方?乳鸽怎么做好吃
以家人之名唐灿饰演者是谁?唐灿是谁演的
如何进行抄报税操作?不懂抄报税的看过来
拍打带脉的正确方法?如何正确敲打带脉
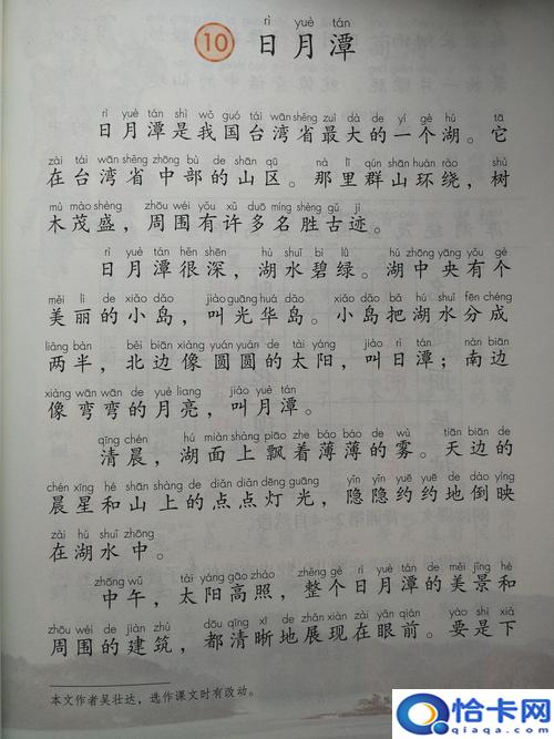
日月潭课文?日月潭课文全文
一年级上册数学口算题?一年级上册数学口算题大全
热乎乎的拼音?热乎乎的拼音及解释
倾城雪演员表?倾城雪有哪些演员
肉的拼音怎么写?肉的读音
怎样剪窗花?剪窗花的方法
空落落读音?空落落读音及解释
驭怎么读?汉字驭怎么读
如何设置电脑护眼模式?快来看看吧
涪读音?涪怎么读