水灰比0.5为什么?水灰比0.5的水泥浆重量与体积对照
水灰比0.5的水泥浆重量与体积对照
一、材料及水灰比
1.普通硅酸盐水泥PO 42.5
2.水灰比(质量比):0.5:1
二、重量体积换算
普通硅酸盐水泥42.5的密度采用3.10g/cm³,水的密度采用1g/cm3。
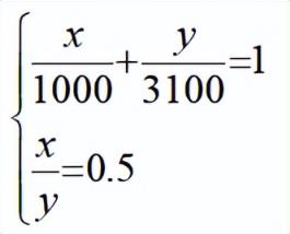
按照水灰比0.5:1,计算1m³水泥浆中水、水泥质量。设水质量X,水泥质量Y:

1m³水泥浆中水、水泥质量分别为:
水=607.8kg
水泥=1215.7kg
普通硅酸盐42.5的密度
1.普通硅酸盐水泥42.5的密度大约为3.05-3.15g/cm³。
2.普通硅酸盐水泥的密度与其矿物组成、储存时间和条件以及熟料的煅烧程度有关。在进行混凝土配合比计算时,通常采用的密度值为3.10g/cm³。此外,普通硅酸盐水泥的堆积密度也与其矿物组成及细度有关,主要取决于存放时的紧密程度,计算时通常采用1300 kg/m³。不同类型的水泥,如矿渣水泥、火山灰水泥、粉煤灰水泥的密度稍低,大约在2.8-3.1g/cm³之间。而普通硅酸盐水泥的堆积密度则大约在每立方1000至1600公斤之间,这与其堆积的密实程度关系大。
本站通过AI自动登载优质内容,本文来源于互联网或者用户投稿,本站旨在传播优质文章,无商业用途。如不想在本站展示可联系删除
本站部分文章来自网络或用户投稿。涉及到的言论观点不代表本站立场。阅读前请查看【免责声明】发布者:爱自由,如若本篇文章侵犯了原著者的合法权益,可联系我们进行处理。本文链接:https://m.sxhanhai.com/life/137891.html